Kamis, 10 April 2014

Integral Subtitusi dan Parsial (Soal-soal dan Pembahasannya)

Halloooo Semangat Pagiii.........

Pada kesempatan kali ini Saya akan memposting soal-soal Kalkulus beserta pembahasannya secara komplit niiih hehe..

Oh ya Kalkulus itu penting lhooooo!!! Kenapa sih penting??? Karena Kalkulus adalah mata kuliah yang berguna untuk membantu mahasiswa memantapkan kepribadiannya, agar secara konsisten mampu mewujudkan nilai-nilai dasar matematika untuk menerapkan,mengembangkan bakat dan keahlian (skill),karena ilmu ini bisa membawa kita menuju masa depan yang cerah dan mempunyai rasa tanggung jawab dan bermoral.

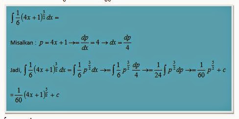
Sekarang kita langsung liat soal-soalnya yuuuukk!!!!!!!



























Naaah sudah dibahas semua soal-soal diatas. Semoga dapat bermanfaat yaaaa..
Terimakasiiih yang udah baca :)

Sumber Referensi :
http://hakimbanten.blogspot.com/2009/12/kegunaan-kalkulus-dalam-kehidupan.html